| Sign In | Join Free | My benadorassociates.com |
|
Pronets believe Quality is a company’s life.
Our Quality policy is “source identification, Process Control, and Continuous improvement”
Source Identification means all pronets’s supplier facilities must be audited by pronets SQE (supplier quality engineers), before it is identified to be our qualified suppliers;
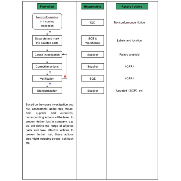
Every qualified supplier’s each batch incoming products or materials will be inspected by our IQC;
This is The Flow chart for nonconformance caused from supplier

Process Control:
During Each product assembly process, we have IPQC to do the sample check according to the corresponding quality documents; Check our “Quality Assurance documents in assembly process”
This is the Flow Chart for nonconformance in process or final inspection

Continuous improvement
Find the problem, solve problem, than analysis the problem, to prevent the failure;
This is the Flow Chart for nonconformance at Customer

|
|
|
|
|
|
|
|
Contact Person: MrJason Wong